Šahisti protiv - zagađenja zraka
Kompjutorske simulacije pokazuju da šahovski majstori vuku lošije poteze kad je zrak loš, što ukazuje na negativan učinak zagađenja na kognitivne sposobnosti
O opasnostima koje prijete čovječanstvu od zagađenog zraka napisane su brojne studije, a sad smo dobili još jednu, o utjecaju na performanse šahista. Naime, kompjuterska analiza partija daje nam do znanja da šahisti objektivno igraju lošije i vuku više nepotrebnih ili krivih poteza kad je zrak koji udišu bogatiji finim česticama zagađenja.
Vjerojatnost pogreške
Točnije, vjerojatnost da će šahisti pogriješiti povećava se za 2,1 postotni bod, a veličina tih pogrešaka povećava se za 10,8 posto. To znači, pišu autori studije "Kvaliteta zraka u zatvorenom prostoru i strateško odlučivanje", objavljene u časopisu Management Science, da čišći zrak dovodi do bistrijih glava i oštrijeg razmišljanja.

"Kad su pojedinci izloženi višim razinama onečišćenja zraka, čine više pogrešaka, i te su pogreške sve veće", kažu istraživači s MIT-a i Sveučilišta u Maastrichtu.
Internetom povezani senzori
Fine čestice promjera 2,5 mikrona ili manje, označene kao PM2,5, često se povezuju s motorima s unutarnjim izgaranjem u automobilima, elektranama na ugljen, šumskim požarima, kuhanjem u zatvorenom prostoru uz otvorenu vatru... Svjetska zdravstvena organizacija procjenjuje da zagađenje zraka dovodi do više od četiri milijuna preuranjenih smrti svake godine, zbog raka, kardiovaskularnih problema i drugih bolesti.

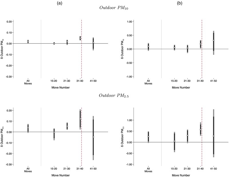
Istraživači su proučili više od 30.000 šahovskih poteza 121 šahista na tri turnira. Koristili su tri internetom povezana senzora za mjerenje ugljičnog dioksida, koncentracije PM2.5 i temperature. Budući da je svaki turnir trajao osam tjedana, bilo je moguće ispitati kako su promjene kvalitete zraka povezane s promjenama u performansama igrača.
Pad performansi
U vježbi replikacije, autori su pronašli iste utjecaje onečišćenja zraka na neke od najjačih igrača u povijesti šaha koristeći podatke iz 20 godina partija prve njemačke šahovske lige. Učinak igrača mjeren je softverskim programima koji procjenjuju svaki potez u svakom šahovskom meču, identificiraju optimalne odluke i označavaju značajne pogreške.

Istraživači su ispitali i isključili alternativna potencijalna objašnjenja za pad u performansama igrača, kao što su povećana buka, količina ugljičnog dioksida i promjene temperature, a u obzir su uzeli i kvalitetu protivnika s kojima se susreo svaki igrač. Analiza je na kraju pokazala da je pad igračkih performansi izravno povezan s izloženošću finim česticama u zraku.
Utjecaj na kognitivnost
Najlošije poteze šahisti su vukli u uvjetima vremenskog ograničenja u kojima se 40 poteza mora napraviti unutar 110 minuta. Kod posljednjih deset poteza, povučenih u uvjetima onečišćenja zraka od 10 mikrograma po kubičnom metru, vjerojatnost pogreške rasla je 3,2 posto, pri čemu se veličina tih pogrešaka povećala za 17,3 posto.

Studija pokazuje i da onečišćenje zraka može utjecati na ljude u sredinama u kojima oni možda ne misle da to čini razliku. Činjenica je da čak i šahisti, koji provode nebrojene sate pripremajući se za sve vrste scenarija s kojima se mogu suočiti u mečevima, mogu biti lošiji kad se poveća zagađenje, sugerira da bi to moglo utjecati na kognitivnost i drugih ljudi koji se bave kognitivno zahtjevnim zadacima.