Odgovor na pitanje: Što su eksplozivi?
Evo još jednog zadatka za našeg dežurnog kemičara. Čitatelj pita – kemičar odgovara. Svaki dan čujemo nešto o eksplozijama i eksplozivima, a ne znamo što oni zapravo jesu.
Odgovor na postavljeno pitanje, što su eksplozivi, je jednostavan: eksplozivi su tvari koje reagiraju brzo, a u reakciji oslobađaju velike količine topline i plinova. Zašto je takvih tvari, eksploziva, malo? I na to pitanje je odgovor jednostavan: zato što su tri navedna zahtjeva – velika brzina i energija reakcije uz oslobađaje plinova – rijetko kada istodobno ispunjena.
Navedena svojstva nisu ni na koji način međusobno uvjetovana. Reakcija može biti brza, a da se u njoj ne oslobađa velika energija. Ima kemijskih reakcija pri kojima se oslobađa mnogo energije, a ne oslobađa se baš nimalo plina. Takva je primjerice reakcija željezova oksida (Fe3O4) s aluminijem ili pak reakcija sumporova heksafluorida s litijem. U prvoj reakciji nastaje glinica (aluminijev oksid) i rastaljeno željezo, a u drugoj litijev sulfid i fluorid. Prva se reakcija koristi za zavarivanje tračnica i mostova, a drugu su reakciju Rusi koristili za pogon torpeda, jer se u njoj oslobađa mnogo topline (8,3 MJ/kg) bez nastajanja plina, koji bi ostavljao trag iza podvodnog oružja. Ima dakle svakakvih kemijskih reakcija, sporih, brzih, vrlo brzih i superbrzih, a osim što se u reakcijama može osloboditi više ili manje topline, ima reakcija u kojima se toplina ne oslobađa nego troši.
Kada se to razumije, postaje jasnije kako se mjeri jakost eksploziva. Postoji dakako mnogo parametara, no najvažnija su dva. Prvi je detonacijska brzina, a drugi specifični tlak.

Detonacijska brzina je brzina širenja udarnog vala. Ona se jako razlikuje od eksploziva do eksploziva, pa se upravo po njoj razlikuju baruti od jakih (brizantnih) eksploziva. Detonacijska brzina crnog baruta iznosi samo 400 m/s, a to je čak 17 puta manje od detonacijske brzine trotila (trinitrotoluena ili TNT), 6700 m/s. No to nije najjači eksploziv – pentrit ima detonacijsku brzinu 8340 m/s. Kad čovjek vidi te brojke, koje mnogo puta nadmašuju brzinu zvuka, postaje mu jasna naivnost filmskih prikaza eksplozija. Što može ostati od čovjeka kad se izloži udaru „vjetra“ te brzine?
Iako veća brzina udranog vala znači i veći specifični tlak (koji se definira kao tlak plinova oslobođenih eksplozijom u prostoru koji je zauzimao eksploziv), te dvije veličine nisu strogo korelirane. To se vidi iz usporedbe specifičnog tlaka crnog baruta (2810 bar), trotila (8080 bar) i pentrita (12.000 bar). Nitroglicerin ima pak veći specifični tlak (12.240 bar), ali manju detonacijsku brzinu (7450 m/s) od pentrita.
Kemija se temelji na vezi mikrosvijeta s makrosvijetom, vezi svijeta atoma i molekula sa svijetom u kojem mi živimo. Stoga i jakost eksploziva ovisi o njihovoj kemijskoj strukturi. Postoje, najjednostavnije rečeno, funkcijske skupine koje se brzo raspadaju uz oslobađanje velikih količina energije. Najpoznatija takva skupina je skupina -NO2, koja se može vezati za mnoge atome. Ako se veže za atom kisika, O-NO2, govorimo o nitratima, ako se pak veže za atom ugljika, C-NO2, govorimo o nitro-spojevima. Crni barut je smjesa ugljena, sumpora i salitre, kalijeva nitrata (KNO3), nitroglicerin, nitroceluloza i pentrit su esteri dušične kiseline (imaju fragmente C-O-NO2), dok su trotil i pikrinska kiselina nitro-spojevi. Što je udio tih skupina u molekuli veći, eksploziv će biti jači.
Drugi faktor o kojem ovisi jakost eksploziva je njegova gustoća. Pri tome se ne misli samo na gustoću izraženu u gramima po kubičnom centimetru, nego prije svega na unutrašnju, molekulsku i kristalnu gustoću. Jasno je naime da što su atomi bliže jedan drugome, to će se brže jedan s drugim spajati, što znači da će reakcija biti brža, a eksplozija jača.

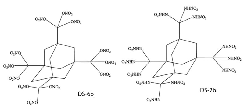
To postaje jasnije ako atome predočimo kuglicama koje se spajaju u nakupine, molekule. Između kuglica ostaje prazan prostor. Taj prazni prostor nije naprosto ništa, nešto čega nema, jer njegovo postojanje utječe na svojstva tvari, i to ne samo eksploziva. Stoga se nastoje napraviti što kompaktnije molekule, sa što manje praznog prostora među atomima. Kod nas se u Zagrebu, na Institutu Ruđer Bošković, radilo na eksplozivima na bazi adamantana, zasićenog cikličkog ugljikovodika koji ima molekule s najvećom mogućom gustoćom pakiranja ugljikovih atoma. (Adamantan je dobio ime po dijamantu, grč. adamas, jer mu molekula ima strukturu tog vrijednog minerala.) Istraživanja derivata toga spoja imaju u nas dugu tradiciju; adamantan je prvi sintetizirao baš u Zagrebu budući nobelovac Vladimir Prelog, ratne 1941. godine.

Potraga za novim eksplozivima ne prestaje. Jer nije samo stvar u detonacijskoj brzini i specifičnom tlaku, nego i o stabilnosti (otpornosti na temperaturu i udar), proizvodnim troškovima, a u posljednje se vrijeme mnogo pozornosti posvećuje i potencijalnoj toksičnosti eksplozivnih tvari.

Nenad Raos je kemičar, doktor prirodnih znanosti i znanstveni savjetnik u trajnome zvanju, sada u mirovini. Autor je i koautor više od stotinu znanstvenih i stručnih radova iz područja bioanorganske i teorijske kemije, molekularnog modeliranja te povijesti kemije i komunikacijskih vještina u znanosti. Još od studentskih dana bavi se popularizacijom znanosti. Sada piše za Čovjek i svemir te, naravno, Bug online. Sedam je godina bio glavni i tehnički urednik časopisa Priroda, a danas je urednik rubrike Kemija u nastavi u časopisu Kemija u industriji. Koautor je dva sveučilišna udžbenika i autor 13 znanstveno-popularnih knjiga. Nagrađen je Državnom godišnjom nagradom za promidžbu i popularizaciju znanosti 2003. godine.