Borove iglice čiste vodu
Ako se uklanja otrov, treba ga uklanjati nečim neotrovnim. To je jasno. Ako je to „neotrovno“ i obnovljivo, a nakon upotrebe iskoristivo onda imamo – borovu iglicu.
Prije mnogo godina dođem na posao, kad ono – institut pun borovog granja. Da nije već Božić, pomislih, ali odmah shvatih da po kalendaru Isusov rođendan nije još ni blizu, a i da jest kupio bi se nekakav „bor“, a ne sto-dvjesto kila borovog granja. No, ubrzo saznah u čemu je stvar. Neki se moji kolege bave istraživanjem onečišćenja okoliša polikloriranim bifenilima, pa su naumili mjeriti njihovu koncentraciju i u borovim iglicama.
Zašto baš u borovim iglicama? E, pa da – proradi mi kliker – poliklorirani bifenili su lipofilni spojevi, pa se lako otapaju u mastima i smolama, pa i u smoli borovih iglica. Riječ je dakle o ekstrakciji polikloriranih bifenila iz tekuće faze (kišnih i rosnih kapi), a možda i izravno iz plinovite faze, tj. iz zraka. Lijepo. Lijepo je imati ovakav jednostavan i, vjerujem, pouzdan indikator onečišćenja zraka, ali nije lijepo ljudima koji piju čaj skuhan od mladih borovih iglica. Tko zna što sve piju u čaju i sa čajem – i što treba i što ne treba.
No priroda je priroda. Ona ne razlikuje dobro i zlo – na čovjeku je da izabere. I evo: trojica pakistanskih kemičara pozabavila su se lišćem himalajskog bora (Pinus roxburghii) ne bi li u njemu pronašli novo sredstvo za pročišćavanje vode od sintetskih (anilinskih) boja te su o tome objavili znanstveni rad u časopisu Hindawi. Anilinske boje? Malo se o njima piše, malo se o njima u široj javnosti zna – iako su upravo anilinske, sintetske boje napravile od Njemačke svjetsku kemijsku velesilu, a cijelom svijetu donijele dotad neviđen razvoj organske kemije – dostajat će da kažem kako se danas proizvodi 3.000 anilinskih boja (za što je trebalo sintetizirati tko zna koliko stotina tisuća novih organskih spojeva).
No anlinske boje nisu samo lijepe nego i otrovne, čak u koncentraciji od jednog grama po kubičnom metru (1 ppm). U svijetu se godišnje u rijeke i mora ispusti 6.000 tona anilinskih boja. Ne treba biti osobito vješt u matematici pa izračunati kako boje za tekstil onečiste godišnje šest milijardi tona ili šest kubičnih kilometara vode. Jao onima koji žive pokraj tvornica i bojadisaonica tekstila!

Ono što su napravili pakistanski kemičari sasvim je jednostavno (što ne znači da su analize učinjenog bile isto tako jednostavne). Borovo lišće prvo se ispere u vodi, zatim se suši pet do šest dana, a potom izmrvi u prah. Prah se pomiješa s onečišćenom vodom te se ostavi stajati 30–45 minuta. Nakon toga dolazi filtriranje – i mjerenje.
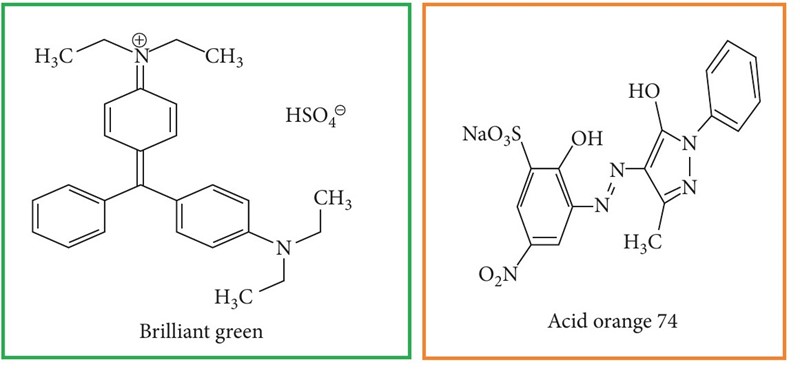
Pakistanski su znanstvenici ispitali dvije anilinske boje, poznate pod trgovačkim imenima Brilliant green (BG) i Acid orange 74 (AO-74). Obje su boje topljive u vodi i alkoholu (etanolu), a izabrane su zbog toga što se podosta razlikuju po strukturi. Prva boja (BG) je kvaterna amonijeva sol, druga (AO-74) je pak natrijeva sol sulfonske kiseline i polifenol. Dalje u usporedbi ne bih išao: tko voli čitati kemijske formule, ove će mu dvije biti zanimljivo štivo.

Ono što nas u cijeloj priči najviše zanima je dakako rezultat, koliko su borove iglice djelotvorne u uklanjanju spomenute dvije sintetske boje iz onečišćene vode? Odgovor je: izmrvljeno lišće himalajskog bora može adsorbirati 71,42 mg/g prve (BG), no samo 7,52 mg/g duge (AO-74) boje. Razlika se vidi i po tome koliko boje zaostaje u očišćenoj vodi. Dok se iz vode može na taj način ukloniti 87 % prve boje, druge se boje može ukloniti samo 57 %. Razlika je i u ovisnosti o kiselosti otopine.
Druga boja se najbolje adsorbira iz kisele (pH = 1–4) otopine, dok pH-vrijednost na adsorpciju prve boje nema utjecaja. To je i za očekivati, jer se druga boja, AO-74, može pojavljivati kao slobodna kiselina (u kiselom) ili u disociranom obliku (u neutralnom i lužnatom) – no to su već detalji za onoga tko želi naučiti, a prije svega shvatiti kemiju.

Nama pak preostaje za zaključiti da je riječ o još jednoj metodi zelene kemije (green chemistry), jer se adsorpcijsko sredstvo može reciklirati (rastom bora, naravno), a adsobirana boja zajedno s iglicama bezopasno ukloniti – i još od nje (u peći) dobiti energiju. No tu nije kraj priče, jer bi se osim himalajskog bora za sličnu svrhu mogle upotrijebiti i lišće drugih vrsta crnogorice, pa i drugih dijelova biljaka, posebice poljoprivednog otpada. Postupak nije kompliciran, a dao bi se, vjerujem, dobro kombinirati s proizvodnjom paletiranog goriva.

Nenad Raos je kemičar, doktor prirodnih znanosti i znanstveni savjetnik u trajnome zvanju, sada u mirovini. Autor je i koautor više od stotinu znanstvenih i stručnih radova iz područja bioanorganske i teorijske kemije, molekularnog modeliranja te povijesti kemije i komunikacijskih vještina u znanosti. Još od studentskih dana bavi se popularizacijom znanosti. Sada piše za Čovjek i svemir te, naravno, Bug online. Sedam je godina bio glavni i tehnički urednik časopisa Priroda, a danas je urednik rubrike Kemija u nastavi u časopisu Kemija u industriji. Koautor je dva sveučilišna udžbenika i autor 13 znanstveno-popularnih knjiga. Nagrađen je Državnom godišnjom nagradom za promidžbu i popularizaciju znanosti 2003. godine.