Kremenim pijeskom i mikrovalnom pećnicom protiv otpadne plastike
Može li se od plastične boce napraviti sirovina za proizvodnju te iste boce? Može, ako se PET pretvori u BHET. No za to treba imati pogodan katalizator – i mikrovalnu pećnicu.
U tehnici i tehnologiji uvijek je vrag u detalju. Svi danas pričaju o mikroplastici iako su za plastične vrećice znale i naše bake, ali bilo ih je mnogo manje nego danas: u posljednjih pola stoljeća proizvodnja umjetnih polimera povećala se šesterostruko, od 51 na 311 milijuna tona godišnje, a za deset godina povećat će se – ako se tako nastavi – još dvostruko. Najlakše rješenje za zbrinjavanje milijuna tona plastičnog otpada je pretaljivanje, ali ne može se sva plastika pretaliti, a ona koja se može, pretaljivanjem gubi na kvaliteti. Mnogo se nade polaže u biorazgradivu plastiku, posebice u polimliječnu kiselinu (PLA), ali ona se biološki razgrađuje tek ako se kompostira na poseban način – u prirodnom joj okolišu za to trebaju stotine godina. Što činiti?
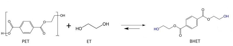
Treba, jasno, pronaći kemijski postupak za razgradnju plastike, po mogućnosti takav da se od nje – depolimerizacijom – dobivaju početni produkti, monomeri, kako bi se od njih mogla opet proizvoditi ta ista plastika. Za najčešću se termoplastiku (dakle onu koja se ne može pretaljivati), poli(etilenglikol-tereftalat), PET, već dugo zna pogodna reakcija. Ona se zove glikoliza. U toj reakciji etilenglikol (ET), etan-1,2-diol, reagira s polimerom pri čemu nastaje bis(2-hidroksietil)-tereftalat (BHET). Zvuči privlačno, ali vrag je opet u detalju: da bi ta reakcija tekla primjerenom brzinom treba imati katalizator i to takav koji se nakon završenog postupka može lako izdvojiti iz reakcijske smjese (heterogeni katalizator). Katalizator usto mora biti bezopasan za okoliš, pa stoga o katalizatorima na temelju teških metala – koji kataliziraju ovu kao i mnoge druge reakcije – ne treba ni misliti. I što sad?

Svaki problem, ma kako složen bio, može se riješiti tako da ga se razloži na manje probleme, na posebna pitanja. To je još u 17. stoljeću napisao René Descartes u Pravilima za upravljanje duhom (Regulae ad directionem ingenii). Upravo su to napravila, iako Descartesa vjerojatno nisu čitala, petorica kemičara iz Irske i Španjolske objavivši u časopisu RSC Sustainability znanstveni rad „Guanidine functionalized porous SiO2 as heterogenous catalysts for microwave depolymerization of PET and PLA“. Ukratko: oni su za čestice kremenog pijeska (porous SiO2) kemijski vezali derivate gvanidina (DCG, EDG ili DCD) te ih u tom obliku upotrijebili kao katalizatore za glikolizu PET i metanolizu PLA, što će reći razgradnju polimliječne kiseline metanolom. Tako su dobili heterogeni katalizator sposoban da razgradi PET do BHET ako se polimeru doda etilenglikol. I to bi bilo sve da nije (opet!) jednog detalja: reakcijsku smjesu su zagrijavali mikrovalnim zračenjem, dakle u mikrovalnoj pećnici.

Kemijske rakcije teku to brže što je koncentracija reaktanata veća, a temperatura viša. To se vidjelo i u ovom slučaju. Ako se pomiješao katalizator, SiO2-EDG s polimerom (PET) i etilenglikolom (ET) u množinskom omjeru 1:5 te zagrijao na 190 oC, nakon tri sata razgradilo se samo 50 % polimera a od njega se dobilo najviše 20 % željenog produkta (BHET). No ako se uz upotrebu istog katalizatora omjer reaktanata povećao na 1:10, a temperatura – uz korištenje mikrovalne pećnice – povisila na 210 oC, reakcija je bila gotova već za 40 minuta uz stopostotnu razgradnju PET i 60%-tno prevođenje polimera u BHET.

No to je bio samo jedan od tri katalizatora što su ih znanstvenici iskušali – onaj najgori. Najboljim se pokazao SiO2-CDC. Tim je katalizatorom pod istim uvjetima polučena potpuna razgradnja PET uz 80%-tno pretvaranje u BHET. Za to je usto trebalo dvaput manje vremena: reakcija je bila gotova već za pola sata.
Iza tih šturih brojeva, kemijskih formula, koncentracija i temperatura kriju se međutim milijunske uštede, da ne govorimo o koristi za okoliš i budućnost našeg planeta. Kako se BHET može lako prevesti u sirovinu za proizvodnu PET, autori navedenog rada uspjeli su od PET napraviti obnovljivi proizvod, no još ne sasvim obnovljiv. Ali ima još mnogo načina da se tehnologija usavrši i poboljša prije nego se sagradi tvornica koja će prerađivati PET na kemijski modificiranom kremenom pijesku.
A što je s drugim polimerom koji se spominje u naslovu, „biorazgradivim“ PLA? Iako su i s njim radili pokuse, rezultati su bili mnogo slabiji. Njihova se metoda ne bi mogla iskoristiti za njegovu razgradnju. Zasad.

Nenad Raos je kemičar, znanstveni savjetnik u trajnome zvanju, koji je radio do umirovljenja 2016. godine u zagrebačkom Institutu za medicinska istraživanja i medicinu rada (IMI). Autor je i koautor oko 200 znanstvenih i stručnih radova iz područja teorijske (računalne) kemije, kemije kompleksnih spojeva, bioanorganske kemije, povijesti kemije i komunikacijskih vještina u znanosti. Bio je pročelnik Sekcije za izobrazbu Hrvatskog kemijskog društva, glavni urednik Prirode te urednik rubrike Kemija u nastavi u časopisu Kemija u industriji; član je društva ProGeo-Hrvatska i Odjela za prirodoslovlje i matematiku Matice hrvatske. Još od studentskih dana bavi se popularizacijom znanosti. Autor je 15 znanstveno-popularnih knjiga, posljednje dvije su „Kemija – muza arhitekture“ (u koautorstvu sa Zvonkom Pađanom) i „Kemičar u kući – kemija svakodnevnog života“.