Što raditi sa suvišnim CO2? Uposlite bakterije!
Rješenje: bakterije treba hraniti plinom koji se dobiva elektrolizom ugljične kiseline – ali s jednim malim dodatkom koji se također dobiva elektrolizom
Ugljikov dioksid je čudan proizvod, jer njegovu proizvodnju plaća proizvođač. Ili, da budem jasniji, ako se ugljikov dioksid sprema u boce te se u tom obliku koristi za gaziranje pića i hlađenje (suhi led) ili ako pak – u najnovije vrijeme – služi u superkritičnom stanju kao medij za kemijske reakcije, onda se može prodavati kao svaka druga roba i na njemu se može, kao na svakoj drugoj robi, zarađivati. Ali ako se ispušta u zrak, onda se za njega mora plaćati pristojba kao za staklenički plin.
Nevolja je međutim što je potražnja za ugljikovim dioksidom mnogo manja od njegove ponude, pa se pravo ne zna što s njime činiti. Već postoje projekti za termoelektrane na zemni plin bez dimnjaka, no utaman, jer bi i one – nužnošću kemijske reakcije – proizvodile ugljikov dioksid.
Najjednostavnije rješenje je skladištenje plina u podzemne šupljine: upumpavanje ugljikova dioksida u ležišta nafte čak pomaže njihovom boljem iskorištenju, jer otapanjem CO2 nafta postaje žitkija pa lakše teče. Radi se i na tome da se na neki način oponaša prirodno trošenje stijena, naime da se silikati izlože korozivnom djelovanju ugljične kiseline (koja, zna se, nastaje reakcijom CO2 i H2O). No sve su to provizorna rješenja – pravo rješenje je pretvoriti CO2 iz opada u industrijsku sirovinu.

I evo jednog složenog, pa ipak jednostavnog načina da se to postigne. Riječ je o znanstvenom radu njemačkih znanstvenika objavljenom u časopisu Molecules. Naslov mu je „Simultaneous formate and syngas conversion boosts growth and product formation by Clostridium ragsdalei“. U njemu čitamo da se na plinu za sintezu (syngas) – a to je smjesa ugljikova dioksida, monoksida i vodika – uzgajaju bakterije. Tim bakterijama očito ne treba kisik jer je Clostridium po zlu poznat rod anaerobnih bakterija kojima pripadaju uzročnici tetanusa i gangrene.
No nećemo sada o bakterijama i bolestima. Važnije nam je znati čime su se točno bakterije hranile i koji su produkti, organski spojevi dobiveni u pokusima njemačkih znanstvenika.
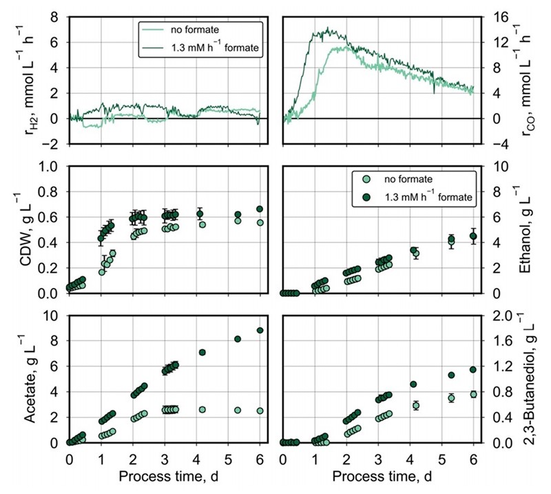
Istini za volju treba reći da istraživanje opisano u rečenom članku nije ništa revolucionarno novo. Već se naime dugo radi na tome da se iskoriste bakterije iz roda Clostridium za metaboliziranje plina za sintezu. Taj se plin može dobiti reakcijom vode s ugljenom, pa su ga Nijemci za Drugog svjetskog rata koristili, u Fischer-Tropschovom postupku, za kemijsku sintezu benzina i dizela iz ruhrskog ugljena. No tehnologija ide dalje. Vodik i ugljikov monoksid mogu se dobiti elektrolizom otopine CO2 u vodi, drugim riječima elektrolizom soda-vode. Pri elektrolizi nastaje i mravlja (metanska) kiselina, HCOOH. To je onaj "formate" (formijat) u naslovu članka – jer formijatom se zove sol ili ion mravlje kiseline.
Zahvaljujući vrlo fleksibilnom metabolizmu, bakterija C. ragsdalei može iz plina za sintezu dati tri produkta: octenu kiselinu (acetat), alkohol (etanol) i 2,3-butandiol. Sva tri organska spoja mogu biti sirovine za kemijsku industriju, no najvažniji je etanol. Zašto? Zato što se iz etanola vrlo lako, prevođenjem njegovih para preko katalizatora, može prirediti etan (etilen), a od njega polietilen (PE) – nekoć se tako, iz alkohola, u Rusiji proizvodila ta plastična masa.

I evo rezultata. Plinska se smjesa sastojala od jednakih udjela (20 %) CO2 i H2, dok je ostatak do 100 % činio dušik i ugljikovov monoksid. Udio posljednjeg plina je najkritičniji jer – kako se može vidjeti na priloženoj slici – pri 5 % CO nastaje acetat uz malo etanola i gotovo bez 2,3-butandiola. Povišenjem udjela CO na 20 %, udvostručuje se proizvodnja etanola dok proizvodnja acetata ostaje u osnovi nepromijenjena. Mravlja kiselina pojačava tu tendenciju.

To nije sve! Važno je uočiti da se pri većem udjelu CO troši manje vodika, što svakako pojeftinjuje proizvodnju. Nusprodukt proizvodnje kemikalija je biomasa (izražena ovdje kao suha masa, cell dried wight, CDW), jer – jasno je – bakterije se hrane radi sebe, da bi se dijelile i množile, a ne radi toga da bi ljudi mogli iskorištavati njihove izlučevine.
Kako bilo da bilo, ovo kao i druga istraživanja u tom smjeru dovest će nas do boljeg iskorištavanja otpadnog ugljikova dioksida. Zahvaljujući fleksibilosti bakterijskog metabolizma, proces se može fino podešavati dajući baš one sirovine koje ljudima trebaju. Jer ako sirovina nikome ne treba, onda ona nije sirovina nego otpad.

Nenad Raos je kemičar, znanstveni savjetnik u trajnome zvanju, koji je radio do umirovljenja 2016. godine u zagrebačkom Institutu za medicinska istraživanja i medicinu rada (IMI). Autor je i koautor oko 200 znanstvenih i stručnih radova iz područja teorijske (računalne) kemije, kemije kompleksnih spojeva, bioanorganske kemije i povijesti znanosti. Bio je pročelnik Sekcije za izobrazbu Hrvatskog kemijskog društva, glavni urednik Prirode te urednik rubrike Kemija u nastavi u časopisu Kemija u industriji. Još od studentskih dana bavi se popularizacijom znanosti. Autor je oko 3000 znanstveno-popularnih članaka te 16 znanstveno-popularnih knjiga, posljednja je "Antologija hrvatske popularizacije prirodnih znanosti".