Suhom vodom do života u svemiru
Minerali gline nastaju djelovanjem vode na silikatne stijene. Znači li da ih nema u asteroidima, suhim nebeskim tijelima? Ima ih ima, a od njih i načina njihova nastanka vodi put do postanka života.
Prije petnaestak godina britanski znanstvenik indijskog porijekla (i podugačkog imena) Chandra Wickramasinghe objavio je nešto nevjerojatno: ne samo da je moguće da je prvi život nastao u svemiru, nego je i bilijun bilijuna (1024) puta vjerojatnije (!) da je nastao ondje, a ne ovdje, na Zemlji. Život je, kaže, nastao na zvijezdama, ali onima repatima (kometima). Kako je to moguće?
Moguće je zato što kometi ispunjavaju dva nužna uvjeta za postanak života, na njima naime postoje organski spojevi i voda. No na njima ima još nečega, nečega što je za britanskog znanstvenika najvažnije. Na njima ima gline, točnije minerala gline ili filosilikata. Mnogo se na tome radilo, a pisao sam o tome i u ovoj rubrici: minerali gline su moćni katalizatori, koji – između ostalog – kataliziraju polimerizaciju aminokiselina u proteine i nukleotida u nukleinske kiseline. Ili, bolje rečeno, u proteinima i nukleinskim kiselinama slične spojeve, tvari od kojih su se poslije razvili današnji proteini i nukleinske kiseline, uključujući i famoznu mRNA. Ali odakle glina? Odakle glina na tim dalekim, ledenim tijelima?
Glina i njezini minerali nastaju iz silikatnih minerala i stijena djelovanjem vode sa ili bez ugljične kiseline, dakle u njoj otopljenog ugljikova dioksida. Većina minerala gline, filosilikata, nastala je na površini Zemlje. Drugi su filosilikati (serpentini) nastali procesom serpentinizacije, djelovanjem vrele vode i pare u Zemljinoj kori. No kako god proces tekao, filosilikti ne mogu nastati bez vode.
Na kometima ima vode, no u obliku leda. Do taljenje vode u kometima je vjerojatno došlo, smatraju znanstvenici, zbog njihovog grijanja izazvanog raspadom radioaktivnih izotopa, koji su u vrijeme postanka Sunčeva sustava bili mnogo aktivniji nego danas. No što je s filosilikatima u hondritima, meteoritima u kojima praktički nema vode? U nekima od njih (ugljični hondriti) pronađeni su organski spojevi, a meteoriti su – točnije nebesko tijelo od kojeg su nastali – bilo neko vrijeme izloženo temperaturi od 260 do 400 oC. Porast temperature u tom slučaju može se objasniti sudarima (akrecijom) sitnijih čestica koji su doveli do nastanka nebeskih tijela koja kruže oko Sunca.
Povezavši tri navedene činjenice u vezi s hondritima – silikatne minerale, organske spojeve i povišenu temperaturu – petero japanskih znanstvenika nedavno su napisala znanstveni rad „Aqueous alteration without initial water: Possibility of organic-induced hydration of anhydrous silicates in meteorite parent bodies“. Najjednostavnije rečeno, napravili su hidraciju (kemijsku reakciju s vodom) silikatnih minerala iz meteorita na suho, bez vode. Suhom vodom? Moglo bi se i tako reći, ako pri spominjanju „suhe vode“ mislimo na nešto što nije H2O.

Pokus što su ga izveli sasvim je jednostavan. Smrvili su mineral olivin (koji se nalazi u metoritima), a zatim pomiješali 0,2 grama njegova praha sa pet puta većom masom smjese 19 organskih spojeva. Nakon 10 dana grijanja na 300 oC, otkrili su na česticama olivina (točnije magnezijeva olivina, minerala forsterita, Mg2SiO4) stvaranje novih silikatnih minerala. Bili su je to minerali lizarit iz klase serpentina, Mg3Si2O5(OH)4, te milovka ili talk, Mg3Si4O10(OH)2. Usto je nastao i magnezit, MgCO3, magnezijev karbonat. Sve su to odavno poznate kemijske reakcije djelovanja vode i ugljikova dioksida na forsterit. No odakle dolaze H2O i CO2?

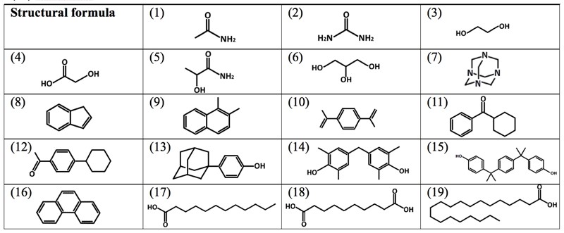
Sve postaje jasnije kada se baci pogled na ovdje navedene formule 19 komponenti smjese organskih spojeva koja je pomiješana s izmrvljenim forsteritom. Među njima su spojevi s hidroksilnom skupinom, alkoholi i karboksilne kiseline, a oni grijanjem (pirolizom) daju vodu i ugljikov dioksid. Tu su i dva alkohola, etilen-glikol (3), kojeg nalazimo u antifrizu, i glicerol (6), koji je sastavni dio svake masti i ulja. Izdvojit ću još te dvije poznatije karboksilne kiseline, glikolnu (4) i laurilnu (17). Smjesa nije sastavljena napamet, nego prema kako kvalitativnom tako i kvantitativnom sastavu oblaka plina i prašine iz kojeg nastaju zvijezde i planeti.
Pokazalo se da pirolizom oslobođena voda i ugljikov dioksid kemijski mijenjaju olivin (forsterit), ali i da mineral katalizira raspad organskih spojeva. Iz toga slijedi da kombinacija silikatni minerali + organski spojevi daje ne samo nove nove minerale (filosilikate) nego i nove organske spojeve. Nastankom filosilikata veza minerala i organskih spojeva postaje još tjesnija, pa nastaju još složeniji organski spojevi, preteče proteina i nukleinskih kiselina, a na kraju i prva živa stanica.

Možda nije baš sve tako kako Chandra kaže, ali istraživanje japanskih znanstvenika baca novo svjetlo na hipotezu da su minerali i organski spojevi evoluirali zajedno, u interakciji jednih s drugima. Tako je nastao život s milijunima živih vrsta, no i umalo pet tisuća novih minerala, minerala koji postoje samo na Zemlji.

Nenad Raos, rođen 1951. u Zagrebu, je kemičar, doktor prirodnih znanosti i znanstveni savjetnik, sada u mirovini. Još od studentskih dana bavi se popularizacijom znanosti. Autor je i 13 znanstveno-popularnih knjiga od kojih je jednu, „The Cookbook of Life – New Theories on the Origin of Life“ (izišlu 2018. godine), napisao na engleskom jeziku. Urednik je rubrike „Kemija u nastavi“ u časopisu Kemija u industriji, za koji piše i redovite komentare. Nagrađen je Državnom godišnjom nagradom za promidžbu i popularizaciju znanosti 2003. godine.