Esterifikacija – nova nada za lignin
Uz celulozu tvornice celuloze proizvode i lignin. Što od njega napraviti? Mnogo toga, samo ga prethodno treba prevesti u nešto drugo – u ester.
Prije mnogo godina došao je meni na institut neki mladi ruski kemičar da mu pomognem: dobio je naime stipendiju na drugom našem institutu, Institutu Ruđer Bošković, a onda je slučajno otkrio da se ja bavim konformacijskom analizom, a ta metoda baš njemu treba za rješavanje problema. Kojeg problema? On dolazi iz Lenjingrada (Sanktpetersburga), sa šumarskog fakulteta, a bavi se ligninom, točnije njegovom strukturom. I tako napravismo proračune, objavismo znanstveni rad, ali problem lignina ne rješismo. Lignin je tvrd orah.
Najjednostavnije rečeno: drvo je sastoji od dva polimera, od celuloze i lignina. Još jednostavnije: prerada drva, da bi se od njega proizveo papir, sastoji se od odvajanja celuloze od lignina. I dok je celuloza našla najširu primjenu u svakodnevnom životu, lignin nije drugo nego nusprodukt, da ne kažem otpad pri proizvodnji celuloze. Najbolje ga je spaliti u peći (ili pretvoriti u tekuće gorivo), da bi se od njega dobila bar energija.
Razlika između ta dva polimera iz drva je u strukturi. Struktura celuloze je jednostavna. Ona je, poput škroba, polimer glukoze – dva se polimera razlikuju po tome što su im polimerne jedinice drugačije povezane. Od celuloze se može dobiti glukoza hidrolizom, primjerice kuhanjem s kiselinom. Celuloza je usto linearni polimer, pa se baš zbog toga od nje mogu raditi niti, može se presti, ako su joj molekule dovoljno duge. Razlika između celuloze iz bukve i celuloze iz pamuka samo je u duljini njezinih najmanjih niti, u veličini molekula.
Sve što sam rekao o celulozi, može se reći i o ligninu – samo obratno. Lignin nije jednostavan polimer. (Da jest, ne bi me ruski kolega s početka članka molio za pomoć.) On se sastoji od aromatskih jedinica povezanih na mnoge načine i u sve tri dimenzije. Stoga se ne može, poput celuloze, presti. Celuloza je hidrofilna molekula, puna hidroksilnih skupina (-OH), lignin je i hidrofoban (zbog aromatskih skupina) i hidrofilan (zbog hidroksilnih, -OH, i karboksilnih, -COOH, skupina), a to je najgore za kemičara. Jer hidrofilne i hidrofobne molekule imaju različitu kemiju. Koja je kemija lignina?

Kemija lignina je u tome da se pretvori u nešto drugo, u molekule koje bi se mogle bolje tehnološki iskoristiti. Upravo je to napravila međunarodna skupina znanstvenika koji su u časopisu Matter objavili članak „Lignin molecular design to transform green manufacturing“. Kako se to lignin može „dizajnirati“ ili, bolje rečeno, „redizajnirati“?
Tajna je u jednom kemijskom reagensu, anhidridu krotonske kiseline, CH3-CH=CH-COOH. Taj anhidrid, dvije molekule krotonske kiseline povezane preko karboksilnih skupina ( -CO-O-CO- ), kada se pomiješa s ligninom te potom kuha u vodi pri 130 oC pretvara lignin u nešto drugo. To drugo se zove HiMWELL, no ta kratica ne znači „Hi, I am well“, nego „high-molecular weight esterified linkage lignin“ (visokomolekularni lignin povezan esterifikacijom). Molekule krotonske kiseline vežu se za skupine -OH (esterificiraju ih) i time smanjuju hidrofilnost molekule lignina. (Sirovi lignin sadrži do 3 % vlage, HiMWELL praktički ne sadrži vodu.) No kada se dvije tako vezane molekule krotonske kiseline nađu blizu jedna drugoj, one će se povezati, pa će porasti molekulska masa lignina. Rezultat: lignin će se pretvoriti u bolju sirovinu za kemijsku industriju.

Lignin se, prvo, može koristiti za dobivanje ugljičnih vlakana (carbon fiber, CF). Vlakna dobivena od esterificiranog lignina (HiMWELL) su tanja i jednolikija od onih dobivenih od sirovog lignina (KL), a usto imaju veću rasteznu čvrstoću i Youngov modul elastičnosti ne samo od vlakana dobivenih od KL (KLCF), nego i od drugih ligninskih pripravaka. No to nije sav napredak u „zelenoj proizvodnji“ (green manufacturing), na što upućuje naslov spomenutog rada.

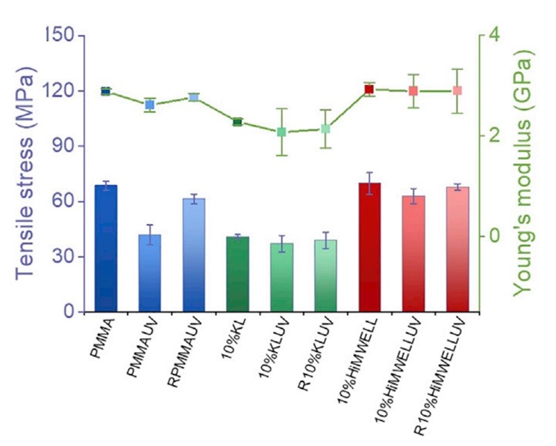
Već se dugo radi na tome da se lignin, kao prirodna i obnovljiva sirovina, primiješa plastici. Stoga su autori rečenog rada napravili smjese poli(metil-akrilata), PMMA, s više ligninskih pripravaka: samo dodatak HiMWELL-a (10 %) nije smanjio mehanička svojstva polimera. I još: dodatak HIMWELL-a štiti PMMA od štetnog djelovanja ultraljubičastog (UV) zračenja.
Što na kraju reći? U svijetu se godišnje proizvede preko sedam milijuna tona celuloze – i četiri milijuna tona lignina. Ne dajmo da ligninsko blago propadne! Pretvorimo ga u HiMWELL.

Nenad Raos je kemičar, znanstveni savjetnik u trajnome zvanju, koji je radio do umirovljenja 2016. godine u zagrebačkom Institutu za medicinska istraživanja i medicinu rada (IMI). Autor je i koautor oko 200 znanstvenih i stručnih radova iz područja teorijske (računalne) kemije, kemije kompleksnih spojeva, bioanorganske kemije i povijesti znanosti. Bio je pročelnik Sekcije za izobrazbu Hrvatskog kemijskog društva, glavni urednik Prirode te urednik rubrike Kemija u nastavi u časopisu Kemija u industriji. Još od studentskih dana bavi se popularizacijom znanosti. Autor je 3000 znanstveno-popularnih članaka te 15 znanstveno-popularnih knjiga.